A-Level As物理(9702)paper 2公式總結
時間:2022-05-17
來源:網絡
作者:未知
距離ALevel物理(9702)的paper 2考試還剩兩天!大家準備的怎么樣?
今天特意為大家分享As部分務必掌握的公式,相信背過并熟練掌握這些公式,對我們的考試一定有很大幫助。
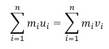
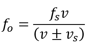
Force and motion力和運動 velocity, v=Δs/Δt acceleration, a=Δv/Δt v=u+at s=ut+1/2 at2 v2=u2+2as s=(u+v)t/2 resultant force, F=ma weight, W=mg torque of a couple=force×perpendicular distance between forces work done, W=Fscosθ (θ is the angle between F and s) gravitational potential energy, GPE=mgh kinetic energy, KE=1/2 mv2 internal energy, U=∑PE+∑KE power, P=W/t=Fv momentum, p=mv resultant force, F=?p/?t conservation of momentum, m1 u1+m2 u2=m1 v1+m2 v2 density, ρ=m/V pressure, p=F/A pressure, p=ρgh Materials 材料學 tension, F=kx stress, σ=(force))/(cross-sectional area) strain, ε=(extention))/(original length)) Young modulus, E=σ/ε elastic potential energy or strain energy, E=1/2 Fx=1/2 kx2 Electricity 電學 electric field strength, E=F/Q electric field strength in a uniform field, E=-V/d current, I=?Q/?t I=nAvq the elementary charge, e=-1.6×10-19 C potential difference, V=?W/?Q resistance, R=V/I power, P=VI=V2/R=I2 R work done, ?W=VI?t combined resistance of resistors in series, combined resistance of resistors in parallel, resistivity, ρ=RA/l terminal p.d.,V=e.m.f.-Ir potential divider circuit, electron volt,1eV=1.6×10-19J Waves 波 frequency,f=1/T wave speed,v=fλ intensity,I∝A2 constructive interference,path difference=nλ=(2n)λ/2 destructive interference, path difference=(2n+1) λ/2 double-slit diffraction, λ=ax/D diffraction grating, dsinθ=nλ When the observer is at rest, observed frequency,































